Dettes fiscales 2020 : derniers jours pour demander un échéancier
- Article publié le 23 juin 2021
C'est en effet le 30 juin prochain qu'expire le délai accordé pour demander à bénéficier d'un échéancier pour le règlement de vos éventuelles dettes fiscales sur 2020.
Entreprises éligibles
Sont éligibles à ce dispositif les entreprises qui :
- ont débuté leur activité au plus tard le 31 décembre 2019 ;
- sont à jour de leurs obligations fiscales déclaratives à la date de leur demande ;
- emploient moins de 250 salariés à la date de la demande et réalisent, au titre du dernier exercice clos, un chiffre d’affaires hors taxes n’excédant pas 50 millions d’euros ou un total de bilan n’excédant pas 43 millions d’euros ;
- attestent sur l’honneur d’avoir sollicité auprès de leurs créanciers privés un étalement de paiement ou des facilités de financement supplémentaires, à l’exclusion des prêts garantis par l’État, pour le paiement des dettes dont la date d’échéance de paiement est intervenue entre le 1er mars et le 31 décembre 2020.
Impôts pouvant être inclus dans le plan de règlement
D’une façon générale, peuvent faire l’objet de ce plan de règlement, tous les impôts directs et indirects recouvrés par la DGIFP (sauf ceux résultant d’une procédure de contrôle), dont la date d’échéance de paiement est intervenue entre le 1er mars 2020 et le 31 décembre 2020, ou aurait dû intervenir pendant cette période avant décision de report au titre de la crise sanitaire.
Il s’agit notamment :
- de la TVA ;
- de la cotisation sur la valeur ajoutée des entreprises (CVAE) ;
- de la cotisation foncière des entreprises (CFE) ;
- du prélèvement à la source ;
- de l’impôt sur les sociétés ;
- de la taxe foncière des entreprises propriétaires ;
- du solde de l’impôt sur les revenus des entrepreneurs individuels.
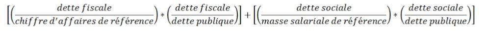
Coefficient d’endettement
Le plan de règlement est établi en fonction du coefficient d’endettement fiscal et social de l’entreprise. Celui-ci est déterminé à l'aide de la formule de calcul suivante :

Dans cette formule :
a) La dette fiscale s'entend des impôts restant dus et dont la date d'échéance de paiement est intervenue entre le 1er mars 2020 et le 31 décembre 2020, ou aurait dû intervenir pendant cette période avant décision de report au titre de la crise sanitaire.
b) La dette sociale s'entend des cotisations sociales restant dues et dont la date d'échéance de paiement est intervenue entre le 1er mars 2020 et le 31 décembre 2020, ou aurait dû intervenir pendant cette période avant décision de report au titre de la crise sanitaire.
c) La dette publique s'entend de la somme de la dette fiscale déterminée au a et de la dette sociale déterminée au b.
d) Le chiffre d'affaires de référence est égal :
- 1. A la quote-part correspondant à dix mois du chiffre d'affaires hors taxe mentionné sur la déclaration de résultat souscrite au titre du dernier exercice clos.
- 2. A défaut de déclaration de résultat souscrite au titre du dernier exercice clos, au chiffre d'affaires hors taxe réalisé au cours des mois de janvier à octobre 2020 tel que déclaré sur l'honneur par le redevable lors du dépôt de sa demande de plan de règlement.
e) La masse salariale de référence est égale :
- 1. Au montant total des rémunérations déclarées au titre des mois de janvier à octobre 2020, sur lesquelles repose le calcul des cotisations des assurances sociales, des accidents du travail et des allocations familiales ;
- 2. A défaut de rémunérations déclarées au titre des mois de janvier à octobre 2020, au quart des rémunérations déclarées ou taxées au titre de l'année 2019, sur lesquelles repose le calcul des cotisations des assurances sociales, des accidents du travail et des allocations familiales.
Durée du plan de règlement
La durée du plan de règlement est déterminée en fonction du coefficient d'endettement déterminé à l'aide de la formule ci-dessus et elle ne peut excéder :
- 12 mois, si ce coefficient d'endettement est inférieur à 0,25 ;
- 24 mois, s’il est compris entre 0,25 et 0,5 ;
- 36 mois, s’il est supérieur à 0,5.
Les échéances des plans de règlement pour un coefficient d’endettement n’excédant pas 0,5 sont acquittées périodiquement en plusieurs versements égaux. En revanche, celles correspondant à un coefficient d’endettement supérieur à 0,5 peuvent être acquittées en versements égaux ou progressifs.
Garanties
Pour les plans d’une durée inférieure ou égale à 24 mois, l’entreprise n’a pas à fournir de garanties.
En revanche, pour une durée supérieure à 24 mois, l'entreprise doit constituer auprès du comptable public des garanties propres à assurer le recouvrement des sommes dues.
Comment faire la demande ?
La demande de plan de règlement doit être effectuée à l’aide du formulaire de demande de plan de règlement « spécifique covid‑19 » depuis la messagerie sécurisée de votre espace professionnel, ou à défaut par courriel ou courrier adressé au service des impôts dont votre société dépend.